Electronic Payment System Questionnaire
How concerned are you about security on the Internet. People reading your email finding out what websites you visit etc Would you report a security break-in of your personal machine or network to a clearinghouse that maintains your anonymity.
Questionnaire For Online Banking Survey Online Banking Banks Banking
Annonce Mass Payment Automation System.

Electronic payment system questionnaire. Electronic payment systems can be grouped into three broad classes. No Matter Your Mission Get The Right Payment Systems To Accomplish It. Payment systems used in e-commerce in Europe and China.
Simplify Your Payments Save Time. A digital customer has to be alert to security issues when using e-Payment systems. Electronic payments can be understood as a payment mechanism using electronic media that does not involve cash.
Traditional money transactions digital currency and creditdebit payments. Multiagency Electronic Fare Payment Systems. Strongly Disagree e-Payment offers a greater choice for.
Welcome to the Payment Systems Regulators PSR questionnaire on access to interbank payment systems. Electronic payment is a mode of conducting transactions that does not require use of cash. The second chapter introduces what online payment system is about how e-commerce and online payment systems.
Strongly Agree e-Payment offers a greater choice for consumer and merchant in the way they send and receive payment. Over time there have been several different aspects of it and the E-payment. This means that on credited you would use the same cards for room access.
Annonce APIs to accept credit cards manage subscriptions send money run a marketplace. Annonce Review the Best Payment Systems for 2021. Annonce Mass Payment Automation System.
Electronic bank transfer Never. Avoid Payment Errors Increase Your Compliancy Now. E-Payment offers a greater choice for consumer and merchant in the way they send and receive payment.
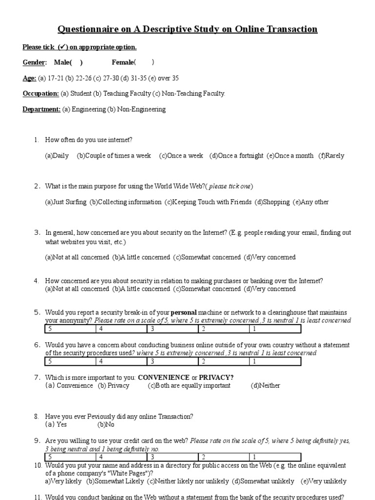
Simplify Your Payments Save Time. Questionnaire on A Descriptive Study on Online Transaction Please tick on appropriate option. Some requirements appear contradictory and tradeoffs have to be made.
Electronic payment system e-payment. Annonce Review the Best Payment Systems for 2021. Save Time Money - Start Now.
Please note that we intend to aggregate and anonymise information and do. Security acceptability convenience cost anonymity control traceability and control of encryption methods. Suggested CitationAppendix A - Survey Questionnaire National Academies of Sciences Engineering and Medicine.
Behind the acceptance of the new payment system depend upon the three factors- cost time and security per. Annonce APIs to accept credit cards manage subscriptions send money run a marketplace. Annonce Get The Most Value Out Of Every Transaction with Our Connected Payments Technology.
All information submitted will be treated as commercially confidential. Visa cards master-card smart cards debit cards credit cards e-check and e-wallet are the options for e-payments. Automate Your Payments With Our Cloud Platform.
From the study conducted it can be elucidated that despite various issues that usage of electronic payment systems pose these are identified as a positive step towards the economic. Annonce Get The Most Value Out Of Every Transaction with Our Connected Payments Technology. Cashless Vending Forth Valley College is continually working to improve the catering provision to provide a healthy eating service that meets the needs of our students staff and customers.
We are currently considering installing a cashless catering system in all Campus Refectories. In the research section various types of customer opinions of online payment are studied by using questionnaire survey. Our Connected Payments Technology Empowers You To Innovate And Unlock Business Growth.
Our Connected Payments Technology Empowers You To Innovate And Unlock Business Growth. This is an opportunity to share your experience and concerns to help shape the PSRs regulatory approach for access to these systems. Cashless System Questionnaire 1.
Save Time Money - Start Now. No Matter Your Mission Get The Right Payment Systems To Accomplish It. Please rate on a scale of 5 where 5 is.
Automate Your Payments With Our Cloud Platform. Such payment systems have a number of requirements. Avoid Payment Errors Increase Your Compliancy Now.
Electronic payments became the first option for transferring money tofrom payerpayee in the twenty-first century. The first chapter discusses the history and current situation of e-commerce in Europe and China.

1 Because E Commerce Is Ubiquitous It Reduces A Marketspace B Transaction Costs C Dynamic Pricing D Price Discrimination Pdf Free Download
Questionnaire On Online Transaction Financial Transaction Internet

Appendix A Survey Questionnaire Multiagency Electronic Fare Payment Systems The National Academies Press

Does Your School Have A Student Questionnaire Or Essay Section On Your Application Or Online Applicat Essay Questions Student Information Student Questionnaire

Jean Dupuy Questionnaire L Art Est Ci L Art Est La Cover 1997 Art Artiste Guerriere

It Infrastructure Assessment Template Elegant Technology Needs Assessment Template Conductin Funeral Program Template Free Brochure Template Statement Template

Payment Terminals Customer Satisfaction Survey Survey Questionnaire Surveys Customer Satisfaction

Appendix A Survey Questionnaire Multiagency Electronic Fare Payment Systems The National Academies Press

Online Exam Isometric Concept Internet Questionnaire Quiz Application For Student Testing Survey Examination Landing Vect Isometric Exam Graphic Design Logo

Tobacco Assessment Questionnaire Download Scientific Diagram

Iep Student Information Questionnaire For Teachers Student Information Iep Student

Non Functional Requirements Nfrs In 2021 Business Analysis Business Analyst Business Requirements

The Survey Questionnaire Question 1 Which Of The Listed E Supply Chain Download Table

Appendix A Survey Questionnaire Multiagency Electronic Fare Payment Systems The National Academies Press

Electronic Medical Record System Questionnaire Stability Testing Download Table

Electrical Customer Feedback Form Customer Feedback Feedback Form

Sample Hotel Survey Form Survey Form Surveys Sample Survey
Questionnaire For Ewallet Financial Technology Finance Money Management

Post a Comment for "Electronic Payment System Questionnaire"